爲獲得視覺上較均勻的顔色空間,CIE推薦CIE1976(L*a*b*)色空間和CIE1976(L"u*v*)色空間,並分别規定瞭色差計算方法。本文主要介紹瞭CIE1976(L*u*v*)色空間.。

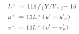
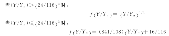
近似均勻的CIELUV三維色空間是由直角坐标L*,u*,v*構(gòu)成,L*,u*,v*由下列式子確(què)定:

式中:
Y、u'、v':描述色刺激的量。計(jì)算 u'、v'的表達(dá)式如下:
Y、u'、v':給(gěi)定的白物體色刺激,一般是指 CIE 照明體照射在完全漫反射體上,再經完全漫反射體反射到觀(guān)察者眼中的色刺激,在數值上即爲照明體的色度值。
CIE 照明體(tǐ)在 CIE 1931 标準色度系統中的u'n.和v'n 見(jiàn)表1.

CIE 照明體(tǐ)在 CIE 1964 标準色度系統中的u'n 10和v'n 10見(jiàn)表2。


在 CIELUV色空間中和明度、飽(bǎo)和度、彩度、色調(diào)近似相關的量和計算公式分别是:
1) CIE 1976 明度L',計(jì)算方法如下:

2)CIE 1976 u,v飽(bǎo)和度(簡稱(chēng) CIELUV 飽(bǎo)和度)Suv,計算方法如下:
3)CIE 1976 u,v彩度(簡稱(chēng) CIELUV 彩度)C*uv,計(jì)算方法如下:

4)CIE 1976 u,v色調(diào)角(簡稱(chēng) CIELUV色調(diào)角)huv,計算方法如下:

1) 兩個(gè)顔色樣品的 CIE 1976 u,v色差(簡稱(chēng) CIELUV 色差)ΔE計算方法如下:
式中:
ΔL、Δu*、Δu*計算方法參(cān)考下列式子,並(bìng)分别用u*、v* 替代a*、b";
2) CIE 1976 u,v色調差(簡稱 CIELUV 色調差)ΔH計算方法如下:
式中:
ΔH與(yǔ)Δhuv的正負(fù)符号相同。
